深圳市中欧体育有限公司
消防产品,认证,检测,技术,管理,咨询服务中心
消防产品,认证,检测,技术,管理,咨询服务中心
2024-11-14 09:39:13 责任编辑:深圳市中欧体育有限公司 浏览:0
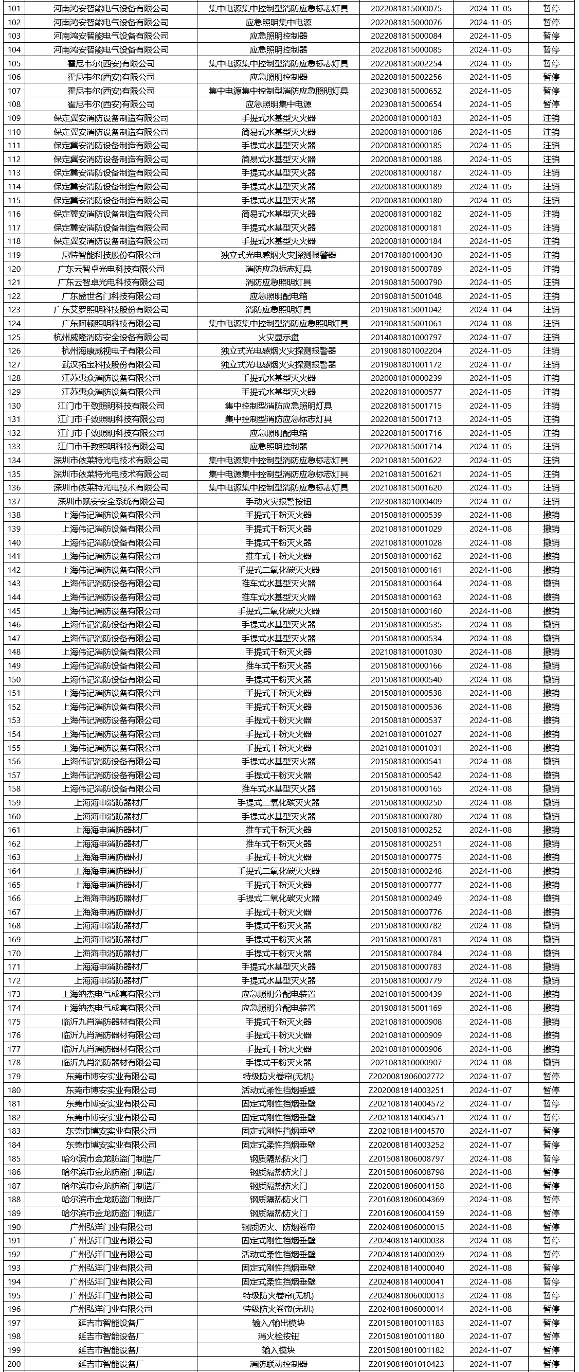
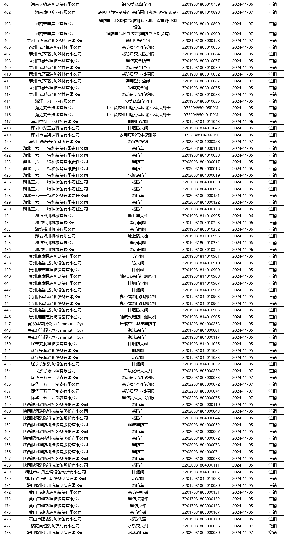
应急管理部消防产品合格评定中心一周认证结果公示
各有关单位:
按照《关于强化消防产品认证信息“公开、透明”工作的公告》的要求,现公布本中心本周认证结果。
如有任何问题,欢迎致电我中心业务处室(联系方式点击此处),邮箱:cccf@263.net。





全国统一服务热线
139 2463 7548
邮箱 :591053467@qq.com
总部地址:深圳市光明区凤凰街道南太云创谷产业中心3栋6楼